秦皇島市厚廣機械設備有限公司

100t鐵水罐耳軸強度分析與修復
劉迪 林蔭 孫忠凱
對煉鐵廠100 t鐵水罐的耳軸磨損進行了分析,通過耳軸彎曲強度核算,確認需修復磨損量。通過對焊縫強度校核,證明更換耳軸的方案不可行,從而選用耳軸表面堆焊的處理工。焊后采用退火處理,以消除焊接殘余應力,效果良好。
鐵水罐是冶金行業使用非常廣泛的一種設備,它的作用是裝運煉鐵廠生產出來的鐵水,并通過鐵水罐車將其運送到鑄鐵車間鑄鐵或煉鋼廠煉鋼。煉鐵廠100 t鐵水罐型號為ZT -100 - 1型,其結構的特點是罐臂(包括圖1所示2, 3部分)采用鑄造,罐身采用焊接,罐臂與罐身互焊。
1 耳軸磨損分析
煉鐵廠100 t鐵水罐如圖1所示, 36只鐵水罐由于使用年久,正常生產時耳軸表面與吊鉤內襯頻繁接觸、擠壓,導致耳軸表面凹凸不平,耳軸局部與吊鉤接觸位置磨損嚴重,導致耳軸與原中心偏心。

當耳軸摩擦副產生相對運動時,軟基材料表面較粗大的凸起由于粘著磨損而產生脫落,形成較硬的粗大磨粒;同時耳軸表面也由于粘著磨損產生了高硬度的細小磨粒。兩種磨粒滯留在接觸區內共同參與磨粒磨損。在摩擦副中粗大磨粒承受了大部分載荷,僅有極少部分高硬度細小磨粒參與磨料磨損。由于粗大磨粒硬度小于耳軸表面硬度。因此粗大磨粒對耳軸磨損作用很小,耳軸磨損速度顯著降低。實踐證明,由于耳軸處于高溫輻射區,油脂潤滑失效,耳軸磨損相當嚴重,并多次發生耳軸表面大面積拉傷。
36只鐵水罐耳軸原直徑為φ310 mm,磨損后其直徑分布為φ260 mm ~φ 280 mm不等,鐵水罐中心線偏離原中心線10~20mm。從而導致鐵水罐不能安全使用。而且,耳軸表面凹凸不平也加速對鐵水罐吊鉤襯瓦的磨損。因此必須對耳軸的強度進行校核,并采取相應表面修復措施修復鐵水罐耳軸。
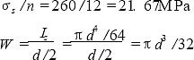
2 耳軸強度的校核
鐵水罐使用時,耳軸主要受彎矩,通過受力分析,如圖2所示以最大應力計算軸徑。耳軸安全系數n取為12。
鋼包裝滿鋼水的重量125 t, 龍門鉤距離3620mm,鉤內圓φ310mm,厚為180mm。
35#鋼的許用應力

式中 W ———抗彎截面系數, mm3 ;
Iz ———耳軸的轉動慣量, mm4 ;
d———耳軸直徑, mm。

斷面處最大彎矩:

式中 Q———鋼水包總重量;
L ———耳軸長度, L = 180mm。

分別代入數值得:

耳軸最小軸徑dmin:

dmin > 260~280mm,強度計算表明,鐵水罐耳軸現有的直徑已不能滿足安全生產需要。必須對耳軸表面修復或者對耳軸部分整體更換。耳軸部分整體更換時需核算新耳軸與罐體連接處的焊縫強度,下面針對焊縫進行強度校核。
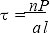
3 焊接強度核算

針對更換耳軸的方案,以剪應力校核耳軸焊縫強度

式中P———焊縫拉力, P =Q /2 = 680kN;
a———角焊縫的計算厚度, a = 0. 7K;
K———焊縫高度,取為25mm;
l———焊縫長度;
n———安全系數, 12;
Q ———鋼水包總重量。
35#鋼的許用剪應力為118MPa。代入公式計算得焊縫的最短長度。而耳軸所在的位置由于樞軸位置的干涉不能平鋪395mm長焊縫。
上面的計算表明100 t鐵水罐采用耳軸部分整體更換的方案不能滿足安全要求。只能采用耳軸表面堆焊修復耳軸磨損量。
4 耳軸堆焊及熱處理
1) 找如圖1所示耳軸軸心,以兩樞軸2的中心位置為基準,在耳軸外圓面上確定耳軸的上下中心線、左右中心線。以這兩條中心線為基準可以定出耳軸表面所要堆焊的高度。
2) 焊前準備。用磁粉探傷儀與超聲波探測儀分別對耳鈾表面及內部,尤其是對耳鈾與罐體連接過渡圓弧處進行探傷檢查,確保焊前無裂紋。若耳鈾內部有裂紋,打磨至無裂紋時再行施焊。焊條經300 ~350℃烘箱, 烘干1 ~2h 后使用。
焊前應將罐倒放,使罐底向上,修復面向上,可以方便焊接;用砂輪拋光機對修復部分進行徹底除銹和打磨處理。

3) 堆焊。以耳軸兩條中心線為定位找正,與堆焊樣板配合確定耳軸每個部位堆焊量。用507焊條堆焊至圖4所示位置。
4) 焊后處理

堆焊完成后,用角向砂輪機、電磨頭、砂輪拋光機對堆焊面修磨,并用樣板控制最終尺寸,過渡圓角特別是耳軸與罐體連接過渡圓弧處修磨達圖紙要求。分別用磁粉、超聲波探測儀進行檢測,確保焊后耳軸無裂紋。
殘余應力會引起鋼件在使用一定時間以后,或在隨后的切削加工中產生變形或裂紋。耳軸退火主要用來消除堆焊造成的殘余應力、細化金相組織。采用局部退火裝置:制作一鋼筒,鋼筒內、外襯石棉,內盤電熱絲;鋼筒一端開口,套在耳軸上開口部與包體焊接固定;退火時鋼筒四周覆石棉,鋼包內耳軸位置覆石棉;對每只鐵水罐退火過程嚴格按照圖5所示溫度曲線要求。
5 結論
通過對鐵水罐耳軸強度校核以及焊縫強度核算,對這種型號的100 t鐵水罐采用更換耳軸的方案不能滿足安全生產的要求,而使用堆焊的方法修復100 t鐵水罐耳軸是可行的。焊后必須退火,以消除焊接殘余應力。采用堆焊可以以較少的費用修復鐵水罐耳軸,是一種經濟實用的維修方案。
非常好的見議,望大家借鑒



冀公網安備 13030102000029號